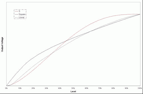
La linéarisation consiste à appliquer une fonction entre la consigne et la phase de découpage afin de retrouver une variation linéaire de la puissance efficace, ou de la luminance perçue, ou tout autre paramètre.
L'utilisation de courbes de correction est très rare dans les variateurs domestiques, elle est courante dans les gradateurs professionnels, par exemple dans les modules de puissances DMX512.
On peut trouver les courbes suivantes, mais elles ne sont jamais détaillées ni expliquées :
|
