
Soit un régulateur à découpage, avec alpha l'angle d'amorçage.
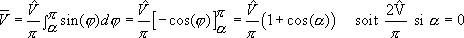
La valeur moyenne en tension s'exprime par :
![]()
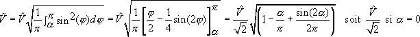
La tension efficace s'exprime par :

On obtient le facteur de forme en divisant la valeur efficace par la valeur absolue ; 1.111 pour alpha=0. Le facteur de crête est donné par le rapport de la valeur de crête et de la valeur efficace 1.414 pour alpha=0.

La puissance moyenne (avec une charge constante) s'écrit : ![]()
La puissance efficace (avec une charge constante) s'écrit : ![]()
La luminance réelle (pour des lampes à incandescence tungstène)
: ![]()
La luminance perçue (pour des lampes à incandescence tungstène)
:
très
proche d'une courbe en puissance efficace en ![]()
Globalement, tensions, puissances, luminances sont des fonctions complexes de l'angle d'amorçage, et si on faisait varier linéairement l'angle de conduction, on ne verrait pas quasiment pas de changement entre 0 et 30° et entre 150° et 180°, soit près de 40% du domaine.
Donc soit on reste entre deux phases (meilleure fit en puissance : linéaire entre 41° et 139°) avec une progression linéaire entre les deux, soit, on utilise une table de conversion pour restituer une variation linéaire selon un paramètre. Evidemment, la deuxième solution est plus précise.
On voit nettement 5 courbes se distinguer : Umoy², Lémise, Lperçue (ou Urms²), Umoy, Urms