Une Boucle à verrouillage de phase "PLL = Phase Lock Loop" est un système asservi basé sur la mesure d'une erreur de phase, suivi par un filtre, puis un VCO. La boucle de contre réaction est en général constituée d'un diviseur.

Le VCO a un tranfert où la fréquence du signal de sortie (dérivée de la phase) est proportionnelle à la tension d'entrée. La phase du signal de sortie du VCO est donc homogène à l'intégrale de cette tension. On dit ainsi qu'un VCO se comporte comme un intégrateur.
Le comparateur de phase, comme son nom l'indique, fournit une tension ou un courant proportionnel à une différence de phase.

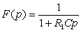
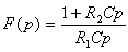
On remarque que la fonction de transfert d'erreur est au moins du premier ordre. Si F(p) est un filtre RC simple, la réponse globale sera du deuxième ordre.
Plus généralement, la littérature distingue :
La fonction de transfert erreur/entrée, montre clairement l'effet intégrateur amené par le VCO, l'erreur de poursuite est donc nulle sur un échellon de phase quelque soit le type du filtre de phase.
Par contre la réponse à un échellon de fréquence (rampe en phase), l'erreur
de phase vaut
et dépend donc du type du filtre ; elle va être nulle pour les boucles
de type d'au moins 2. Il faudra donc un intégrateur dans le filtre F(p).
De même, la réponse à un différentiel de fréquence s'annulera seulement pour les filtres comportant 2 intégrateurs, formant des boucles de type au moins 3.
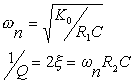
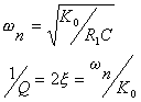
La topologie du filtre F(p) va conditionner la réponse globale et la façon dont la PLL s'accroche. Si Q<0.5, le verrouillage sera asymptotique, pour Q>0.5, l'accrochage sera asymptotique avec une oscillation amortie.
Même
si c'est théorique, on peut imaginer le cas où le filtre de phase n'existe pas
(F(p)=1), la boucle est de type 1 et d'ordre 1, le seul pôle est placé à
, valeur égale au gain statique.
| Topologie |
Type 1a |
|
Type 2 |
| Transfert |
|
|
|
| Parametres PLL |
|
|
|
| Erreur sur un échellon de fréquence |
|
|
|
| Notes | 'amortissement n'est pas réglable. Si RC fort ou K0 fort, l'amortissement peut être très faible et la boucle ne sera pas stable | Ajuster R2 pour l'amortissement et R1 pour la fréquence naturelle. | Nécessite un ampli op, ou une sortie en courant du comparateur de phase. Ajuster R2 pour l'amortissement et R1 pour la fréquence naturelle. Attention, le système est sensible à la charge initiale des capacités. |
| Topologie | |
|
| Transfert | si C2 << C1, F(p) se simplifie : |
|
| Parametres PLL | |
|
| Erreur sur delta F | |
|
| Notes | mêmes avantages que 1b, plus atténuation forte de la fréquence de comparaison de phase. Permet d'avoir un signal sortie encore plus propre en phase. |
![]() |
Cette PLL a été simulée sous SPICE, les courbes suivantes montrent la sensibilité du transfert en boucle fermée aux valeurs R2 et C2
|
![]() |
Avec C2=0, on tourne la simulation avec R2=1, 100, 10k, 1 meg. On voit apparaitre le zéro du filtre, et lorsque la résistance R2 devient suffisamment forte, la réponse en phase reste au dessus de 90°, la pente passe à 6dB/oct et le système revient au premier ordre. Noter que la marge de phase devient correcte (45°) à partir d'une valeur de l'ordre de 150k. |
![]() |
Ici, R2 est fixé à 620k et on balaye les valeurs de C2. La deuxième fréquence de coupure apparait, le transfert repasse à une pente de 12 dB/oct, et la phase replonge vers 180°. Noter que la marge de phase se dégrade fortement à partir d'une valeur de l'ordre de 300n. |
à
venir...
à
venir...