FILTRES ACTIFS


Structure à source controllée (Sallen & Key)

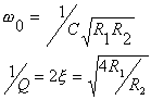
Réseau passe haut

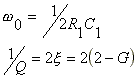
En général, C1 = C2 et G=1, dans ce cas :

 


 

Réseau passe bande

Attention, si le gain de l'Aop est 2, l'amplification n'est limitée que par le gain en boucle ouverte, et il y a fort risque d'oscillation. On pourra rester sous 1.95 par sécurité.

 

to be completed...